Calorine Matthiesen – WORLÉE
Le dispersioni poliuretaniche (PUD) si sono affermate nel mondo delle formulazioni e per una buona ragione: offro-no una combinazione eccellente di resistenza meccanica, di flessibilità, di resistenza chimica e all’acqua e svariate possibilità in termini di durezza, di risposta all’essiccazione, di adesione e di prestazione ambientale.
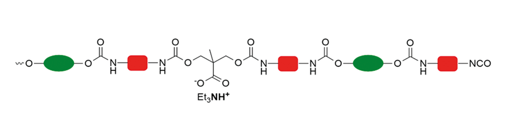
La struttura portante dei poliuretani è costituita da polioli e da diisocianati, che si combinano per creare strutture po-limeriche finemente adattate (Fig. 1).
Queste formano polimeri segmentati composti da gruppi morbidi e duri, tali da conferire al film il giusto bilancia-mento fra elasticità e durevolezza.
Sia che si tratti di legno, plastica, metallo, cuoio o di pro-dotti tessili, con la formulazione PUD corretta, le superfici più impegnative possono essere rivestite con una elevata funzionalità e qualità estetica.
L’attuale gamma di PUD Worlée include quattro prodotti specifici per un’ampia serie di applicazioni (Tab. 1):
– rivestimenti per parquet e mobili: elevata resistenza alla scalfittura e all’abrasione, resistenza al blocking ed essic-cazione rapida. – Applicazioni su cuoio e prodotti tessili: film morbidi ed elastici gradevoli al tatto e ad elevata resistenza alla trazione.
– Sistemi di rivestimento sostenibili: materie prime bio e della regione, ridotto contenuto VOC.
– Primer adesivi per plastica e metallo: eccellente legame a substrati difficili.

Bilanciamento ideale fra prestazione e sostenibilità: Worlée PUF VP 2011 CA
WorléePUD VP 2011 CA rappresenta una nuova gene-razione di dispersioni poliu-retaniche che raggiungono sia l’eccellenza tecnica che la responsabilità ecologica.
Quel che la distingue è l’inte-grazione dell’olio di camelina nella matrice del legante, una pianta a ritmi di crescita veloci, reperibile localmente con un profilo di sostenibilità eccellente.

Diversamente dagli oli tradizionali, la came-lina non rientra nella categoria delle colture alimentari e supporta la biodiversità grazie a coltivazioni miste.

I vantaggi tecni-ci chiave di Worlée PUD VP 2011 CA
– Eccellenti proprietà meccaniche, ideali per substrati difficili come il legno.
– Eccellente resistenza all’acqua e ai prodotti chimici, fra cui la resi-stenza ai tipici deter-genti per l’igiene della casa.
– Ampia compatibilità, può essere miscelata con le dispersioni acrilate e le emulsioni alchidiche.
– Essiccazione controllata, la reticolazione per ossidazione può essere adattata grazie all’utilizzo di sistemi essiccanti selezionati.

Questa associazione di sostenibilità e pre-stazione rende WorléePUD VP 2011 CA una soluzione ideale per sistemi di rivesti-mento di nuova concezione.
Si addice in particolare a rivestimenti de-corativi fornendo integrità del film insie-me a durezza e durabilità (Fig. 2).

Rimodulare insieme il progresso
Con la serie di prodotti WorléePUD, que-sta azienda offre qualcosa di più di semplici materiali fornendo il know-how della for-mulazione e il supporto all’applicazione. Il reparto R&D dell’azienda si allinea sempre alle esigenze della clientela, sia che si tratti di materie prime innovative, di applicazioni specifiche o di tecnologie avanzate.
