Fascicolo 6/ Novembre-Dicembre 2025

SPONSORS DEL Fascicolo

Luca Amadeo, Chiara Mantovani - SAFIC ALCAN ITALIA Francesco Barbagli - BIO-ESPERIA

L'innovativo pigmento nero che sottrae ...

INFO

PPG

Rivestimenti dedicati a brand di EV di lusso e Lucid Motors con la ...

NOVARESINE

Riconoscimento Platinum EcoVadis per il quinto anno consecutivo a ...

METSÄ

Tallolio grezzo Metsä: un componente rinnovabile per l'industria

INDOVINYA

Indovinya scommette sulla sostenibilità per il mercato dei ...

UNIVERSITY OF TORONTO ENGINEERING

Ricercatori sviluppano un rivestimento antiaderente per ...

BSB NANOTECH

BSB Nanotech annuncia il lancio globale del portafoglio di ...

RENOLIT

Rivestimenti ad alta efficienza energetica per i centri urbani

TEKNOS

Teknos e UP Catalyst collaborano per sviluppare materiali a base di ...

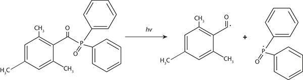
IGM RESINS

Riclassificazione di 1-idrossicicloesil-fenil chetone e percorsi di ...

TRINSEO

Trinseo ottiene la certificazione ISCC+ per la produzione di leganti al ...

HAWK UNIV. OF APPLIED SCIENCES AND ARTS GÖTTINGEN - FRAUNHOFER-IST

Rivestimento a base di lignina poliestere di nuova generazione ...

CATALYXX - ARKEMA

Catalyxx vince il Santander X Global Challenge e consolida la posizione ...

SEPRIFY

La sostenibilità in scala per pitture e rivestimenti con un nuovo pigmento...

AIMPLAS

Dal laboratorio al pennello: REFUGI offre vernici ritardanti di fiamma ...

POLYMAT

Il tetraidrofurfuril metacrilato aiuta a produrre rivestimenti protettivi ...

CEFIC

TDMA chiarisce i dubbi sui nanomateriali in una nuova guida ...

GLOBAL IMPACT COALITION

Progetto di collaborazione R&D per compiere una ricerca sulla ...

CELLUFORCE

CelluForce lancia un rivestimento barriera per il packaging flessibile ...

SUSONITY

Susonity Effect Day 2025 'The home of EFFECTive solutions'

PORAVER

PORAVER lancia sfere cave di vetro uniche al mondo realizzate con ...

NOTIZIARIO ECONOMICO

KERAKOLL

Kerakoll acquisisce PAC Technologies a Dubai per accelerare la crescita ...

COVESTRO

Covestro consolida l’unità di produzione degli isocianati di ...

KRAHN CHEMIE

KRAHN Chemie collabora con MCE per distribuire il nuovo policarbonato ...

SCHÜTZ

SCHÜTZ apre nuovo impianto in Wisconsin per distribuire i suoi ...

SIEGWERK

Siegwerk rafforza la propria divisione dei rivestimenti acquisendo ...

KANSAI HELIOS

Kansai Helios consolida il futuro delle attività statunitensi con la ...

INEOS

INEOS chiude due impianti in Germania nel contesto di un'industria chimica ...

PERFECO

Pentachem in collaborazione con PERFECO per espandere le vendite in ...

BASF

BASF amplia la capacità produttiva di dispersioni per il settore delle ...

RPM INTERNATIONAL INC.

RPM acquista Ready Seal Inc. e rafforza il proprio portafoglio di ...

PRE EVENTO / POST EVENTO

SINOSTAR-ITE INTERNATIONAL LTD

CHINACOAT2025, una piattaforma globale per la tecnologia del futuro

STEP EXHIBITIONS

Paint & Coatings 2025: l’evento cardine per l’industria italiana si conferma leader per presenze e hot-topics

ORGANIZZAZIONE OCTIMA

5° Convegno 'COOL ROOF'