

Cristiano Tunice – IMCD Italia
Le resine epossidiche si distinguono per le loro caratteristiche di resistenze meccaniche, dielettriche, chimiche, termiche e di adesione a diversi supporti, in particolar modo a superfici metalliche. Per queste ragioni, nel mondo delle vernici, ben si prestano alla realizzazione di pavimentazioni, materiali compositi e protettivi anticorrosivi di lunga durata. Per contro manifestano una scarsa resistenza alla luce, fattore che ne preclude il loro utilizzo come finiture per esterno. È noto che le resine sono sintetizzate dalla reticolazione del Bisfenolo A (o Bisfenolo F) con la epicloridrina.
Operando in largo eccesso di epicloridrina si ha n=0, laddove riducendo il rapporto epicloridrina/bisfenolo A, si provoca un aumento del peso molecolare finale della resina, sino ad arrivare ad un valore di n>1, ottenendo solidi amorfi con alti valori di Tg. Ogni resina epossidica è caratterizzata dal suo equivalente epossidico (EEW), ossia la quantità in grammi di resina che ne contiene uno. Per valori di n grandi, si ottengono equivalenti epossidici alti, che comportano una presenza così limitata di gruppi ossiranici da poter definire le resine come dei semplici polialcoli, le cosidette ‘fenossidiche’.

Inserendo in sintesi il Bisfenolo F si ottengono prodotti con minore viscosità finale (la presenza di due idrogeni in sostituzione dei metili causa minor ingombro sterico) e maggiore velocità di reticolazione, a scapito di un maggiore ingiallimento. La presenza di anelli aromatici in catena giustifica la scarsa tenuta ai raggi UV.
In virtù di ciò si possono anche realizzare epossidiche idrogenate che, tuttavia, pur acquisendo maggiore resistenza all’esterno, peccano in durezza; valori di Tg decisamente più bassi.
Per reticolare le resine epossidiche si necessita dei catalizzatori amminici. Nel mercato questi possono essere di quattro tipi:
– amminici alifatici;
– amminici cicloalifatici (più lenti);
– basi di Mannich (veloci anche a temperature basse);
– poliammido amminici (tipici per anticorrosione vista la loro idrofobicità).

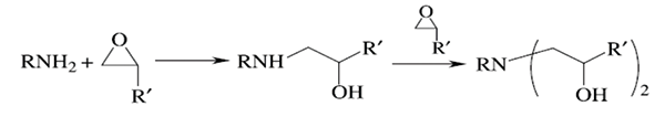
La reazione che porta alla reticolazione dei polimeri epossidici con i corrispettivi catalizzatori amminici è a pagina 11.
Da qui è intuitivo che più idrogeni ‘reattivi’ si hanno nel componente amminico maggiore sarà la reattività dell’ammina stessa.
Per ragioni di tossicità, ma non solo, le ammine spesso vengono ‘addottate’, ossia fatte parzialmente reticolare
con una quantità di resina epossidica (sotto il valore stechiometrico), così da risultare meno problematiche da maneggiare, più veloci nella reazione finale e fornendo anche meno problemi collaterali (ad es. carbonatazione), e con maggior numero di idrogeni ‘reattivi’ in catena, fattore che aiuta a dosarle con maggiore facilità.
Le ammine, infatti, sono contraddistinte dall’equivalente idrogeno (AEHW), calcolato dal rapporto tra il peso molecolare dell’ammina e il numero di idrogeni ‘reattivi’ presenti in catena.
Il rapporto stechiometrico ammina/resina epossidica si ricava dalla seguente equazione:
(AEHW/EEW) * 100
Nel mercato sono assai diffuse le epossidiche a solvente, tuttavia, benché ancora una nicchia, le epossidiche all’acqua possono portare a dei vantaggi tecnici interessanti a fronte di performance simili:
– VOC inferiori.
– Inferiore infiammabilità (no solventi di diluizione).
– Pulizia finale che può essere fatta con acqua, quindi no VOC e minor tossicità per gli operatori.
– Minor rischio di evaporazione non essendoci solventi in massa.
Per contro le resine possono manifestare:
– inferiore shelf life.
Nel corso di questo articolo verranno analizzate le resine all’acqua presenti nel portafoglio prodotti ddchem (riassumiamo i prodotti nella Tab. 1).
Occorre sottolineare che, mentre le Itapox 110 e120 contengono una percentuale minima di solvente organica, la 201 ne è totalmente esente. Le resine sono state sviluppate per essere indirizzate in due settori principali:
– anticorrosione.
– Pavimentazione.

In questo lavoro le tre resine sono state messe a confronto utilizzando quattro differenti catalizzatori amminici, di cui riportiamo le caratteristiche principali nella Tabella 2.

Le resine sono state caratterizzate utilizzando due tipologie di test:
– durezza matita (ASTM D 3363).
– Velocità di essiccazione sul dry recorder (ASTM D 5895-13).
Riportiamo nei grafici delle Figure 1-2-3 i risultati ottenuti per ciascun prodotto.

Alcune considerazioni dall’analisi dei risultati:
– la Itapox 201 mostra le migliori durezze finali con tutti i catalizzatori dopo 1 settimana dall’applicazione, la 120 le peggiori.
– Nelle 24 ore la Itamid Water 1419 mostra sempre il miglior sviluppo di durezza con ciascuna resina.
Interessante paragonare questi dati con quelli derivanti dal dry recorder, riportati in Figura 4 (sono stati indicati tre diversi tempi (ore) registrati sulla macchina: T1 inizio della reticolazione, T2 polimerizzazione in profondità, T3 completamento della polimerizzazione in superficie).

Come si può notare dalle Figure 5-6-7 la Itapox Water 120 appare la resina più veloce nel reticolare con tutti i catalizzatori amminici testati, laddove la Itapox Water 201 appare essere la più lenta.
Questo ben si combina con i risultati di sviluppo di durezza; infatti, una reticolazione veloce comporta una polimerizzazione più rapida che, spesso, non comporta uno sviluppo graduale della reticolazione finale, cristallizzando prima il sistema e, conseguentemente, sviluppandone meno la durezza nel tempo. Si potrebbe attribuire la differenza anche al fatto che la 201 ha un’equivalente epossidico decisamente più basso delle altre, fattore per cui si ha una maggiore rapporto di catalisi con le ammine. Tuttavia, considerando la 110 e120, che hanno EEW simili, si riscontra lo stesso andamento, ossia la 120 mostra maggiore velocità di reazione a fronte di minor sviluppo di durezza nel tempo.

A fronte di questi risultati, per un sistema di pavimentazione ci si potrebbe orientare verso una combinazione Itapox Water 201 Itamine Water 1419, laddove per anticorrosione Itapox Water 110 con Itamid Water 512 o 612. Questo anche in virtù del fatto che i catalizzatori poliammido amminici, vista la loro natura da acidi grassi, comportano degli ingiallimenti che, sicuramente, con la 1419 si eviterebbero.

In merito al discorso anticorrosivo è stato condotto un test sulla combinazione sopra indicata, che ha portato ad un ottimo risultato, dopo aver ottimizzato la formulazione con adeguati disperdenti e cariche.
Il test in nebbia salina è stato condotto su acciaio a due differenti spessori (rispettivamente 40 e 115 micron umidi) che hanno permesso di evidenziarne l’ottima resistenza a livello formulativo, come mostrato dalle foto in Figura 8.
CONCLUSIONI
In questo articolo sono state evidenziate le caratteristiche delle nuove resine all’acqua epossidiche presenti nel portafoglio prodotti ddchem, con cui è possibile sviluppare ottimi sistemi vernicianti sia per il settore pavimentazione sia per quello anticorrosivo con minore impatto a livello di emissioni per l’ambiente sia in fase applicativa sia in fase di pulizia dei sistemi di verniciatura.
Le resine ddchem sono distribuite, in Italia, da IMCD.
